RAZONAMIENTO MATEMÁTICO EXAMEN DE ADMISIÓN UNSA UNIVERSIDAD SAN AGUSTIN DE AREQUIPA SOLUCIONARIO SIMULACRO PREGUNTAS RESUELTAS RM PDF
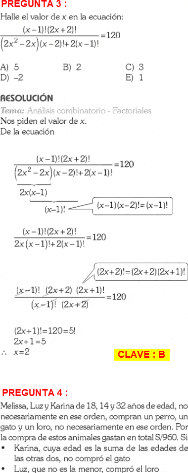
PREGUNTA 1 :
¿Cuántas banderas tricolores se pueden diseñar si se disponen de 6 colores de telas?
A) 120
B) 150
C) 100
D) 40
E) 15
RESOLUCIÓN :
Por el principio de multiplicación para encontrar el total de banderas tricolores.
Por lo tanto, se pueden obtener 120 banderas tricolores.
Rpta. : "A"
PREGUNTA 5 :
Luis se prepara para correr una maratón. El lunes corre 60 m y en lo posterior cada día correrá el doble del día anterior. ¿Qué día correrá 30 720 m?
A) Sábado
B) Viernes
C) Miércoles
D) Jueves
E) Martes
RESOLUCIÓN :
Rpta. : "C"
PREGUNTA 6 :
Para comprar un televisor me falta S/320. Si el televisor tendría un descuento del 30%, su costo sería igual a los 7/8 del dinero que tengo. ¿Cuánto cuesta el televisor?
A) S/1600
B) S/2000
C) S/1920
D) S/1800
E) S/1500
RESOLUCIÓN :
Rpta. : "A"
PREGUNTA 7 :
Halle los términos que continúan:
K ; – 8 ; N ; –1 ; O ; 9 ; R ; 24 ; T ; 46 ; ;
A) W; 80
B) W; 77
C) W; 78
D) V; 78
E) V; 77
RESOLUCIÓN :
Rpta. : "B"
PREGUNTA 8 :
Según el gráfico que se muestra, ¿qué se puede afirmar sobre los gastos de la persona si esta tiene un ingreso de S/1200?
I. La persona gasta S/180 en otros.
II. Gasta igual en viviendo que en ropa.
III. En alimentación gasta S/360.
A) solo I
B) solo II
C) solo III
D) I y II
E) I y III
RESOLUCIÓN :
Rpta. : "D"
PREGUNTA 11 :
Un ingeniero civil pensó en hacer unos planos en 30 días, pero se enfermó, tardando 20 días más por trabajar 2 horas menos cada día. ¿Cuántas horas diarias trabajó?
A) 1
B) 4
C) 2
D) 5
E) 3
PREGUNTA 12 :
Juan y María van a un centro comercial. Juan quiere comprar 10 polos diferentes pero solo tiene dinero para cuatro y le pregunta a María, ¿de cuántas maneras puedo hacer mi selección?
A) 250
B) 220
C) 240
D) 210
E) 230
PREGUNTA 13 :
Seis estudiantes, Raúl, Mauricio, Henry, César, Javier y Tomás, participan en una carrera de cien metros y llevan en sus respectivas camisetas los números 7, 1, 9, 19, 3, 13. Los resultados fueron:
• El 7 llegó antes que el 1 y después que el 9.
• El 9 llegó después que el 19 y este después que el 13 y el 3 fue el último en cruzar la meta. ¿Cuál de los estudiantes llegó en el quinto lugar?
A) Raúl
B) Mauricio
C) César
D) Javier
E) Henry
PREGUNTA 14 :
Joana retira del cajero S/1200 y recibe el doble de billetes de S/100 que de S/200, y cuatro billetes más de S/50 que de S/100. ¿Cuántos billetes de cada denominación recibe Joana?
A) 3 de S/200; 6 de S/100; 10 de S/50
B) 2 de S/200; 4 de S/100; 8 de S/50
C) 1 de S/200; 6 de S/100; 8 de S/50
D) 1 de S/200; 2 de S/100; 6 de S/50
E) 4 de S/200; 1 de S/100; 6 de S/50
PREGUNTA 15 :
Una empresa produce pernos de precisión y en el control de calidad de dicho producto, se determinó que la relación entre los pernos defectuosos y el total de pernos es 3/ 200 . Luego de hacer algunos ajustes a la maquinaria, la relación cambia a 1/ 200 . Si la empresa toma siempre la misma cantidad de pernos como muestra y después de los ajustes se encontraron 75 pernos defectuosos, ¿cuántos pernos defectuosos produjo antes de ajustar la maquinaria?
A) 250
B) 275
C) 225
D) 80
E) 150
PREGUNTA 16 :
Melissa, Luz y Karina de 18, 14 y 32 años de edad, no necesariamente en ese orden, compran un perro, un gato y un loro, no necesariamente en ese orden. Por la compra de estos animales gastan en total S/960. Si
• Karina, cuya edad es la suma de las edades de las otras dos, no compró el gato
• Luz, que no es la menor, compró el loro Además, si los costos de los animales son proporcionales a las edades de las personas que los compraron, ¿qué animal compró Karina y cuánto le costó?
A) Perro; S/480
B) Loro; S/260
C) Perro; S/460
D) Perro; S/400
E) Loro; S/280
PREGUNTA 17 :
Determine cuántos hijos tiene don Julián, si al hacer el reparto de su herencia a cada hijo le tocó S/50 000, pero el hijo mayor renuncia a su herencia y pide sea repartida equitativamente entre sus hermanos. Así cada hijo recibió S/62 500.
A) 5
B) 6
C) 3
D) 7
E) 4
PREGUNTA 18 :
En una empresa que se dedica a fabricar escritorios, 15 trabajadores fabrican 30 escritorios en 10 días trabajando 4 horas diarias. Se desea saber en cuántos días 8 trabajadores, que son el doble de eficientes que los anteriores, fabricarán 40 escritorios que son más difíciles de fabricar que los anteriores, trabajando 5 horas diarias.
A) 25
B) 30
C) 20
D) 10
E) 15
PREGUNTA 19 :
Un estudiante de la Escuela de Matemáticas obtuvo un promedio de 16 en el curso de Razonamiento Lógico Matemático, habiendo dado 4 evaluaciones cuyas notas fueron 15, 18, 15 y 14 con pesos 3, 4, K y 2 respectivamente. ¿Cuál es valor de K?
A) 2
B) 4
C) 5
D) 1
E) 3
PREGUNTA 20 :
Se realiza una encuesta a los habitantes de Caylloma sobre su medio de transporte favorito para dirigirse a su trabajo. El 65% prefiere ir en bicicleta, el 30%, en auto, el 15 %, en bicicleta y auto. ¿Qué porcentaje no prefiere ninguno de los 2 vehículos?
A) 15%
B) 35%
C) 20%
D) 30%
E) 25%
PREGUNTA 21 :
Juan decide resolver problemas de razonamiento matemático. El primer día resuelve 2 problemas; el segundo, uno más que el anterior; el tercer día resuelve el doble que el día anterior; el cuarto día, resuelve 11 problemas; el quinto día, el triple de problemas que resolvió el tercer día; y así sucesivamente. ¿Cuántos ejercicios resuelve el día 15?
A) 198
B) 189
C) 227
D) 201
E) 171



















